2023.03.24
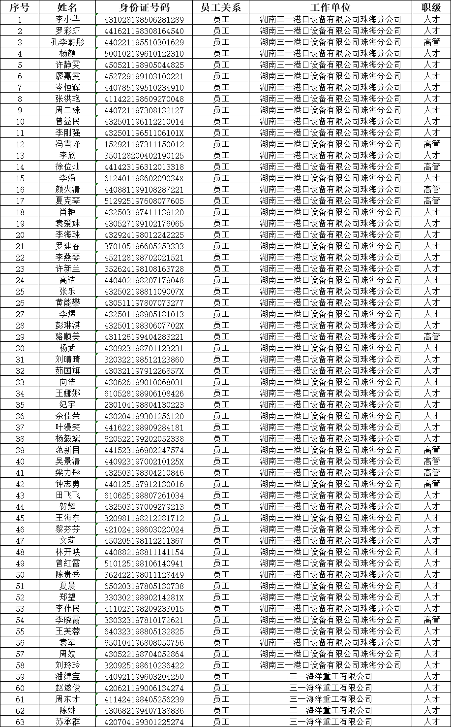
为增加员工归属感,我司开发位于珠海市金湾区平沙镇铭恩路31号【好体育投注网站蓝海花园项目】用于引进行业人才,为保障房住不炒的居住用途及员工购房资格合规性,根据我司制定的《关于好体育投注网站蓝海花园购房资格管理办法》,现对购房名单做如下公示:

公示时间:2023年03月24日至2023年03月31日
欢迎广大员工监督,公示期间,如有任何异议,可拨打监督电话或通过邮箱方式向我司投诉建议。
联系人:董经理、钟先生
联系电话:0756-7853131
联系邮箱:dongxh32@sany.com.cn、zhongzx2@sany.com.cn